}^jeB d s[X 167111
The official website of the American rock band King's XT h e A d v e n t u r e s o f T o m S a w y e r p S t r o n g D e s i r e — W i s e A c t i o n S ATURDAY MORNING CAME A LL THE SUMMER WORLD WAS BRIGHT and fresh and full of life Tom appeared in front of the house with paint and a big brush He looked at the fence, and all joy left him A deep sadness settled upon his heartXSERIES The XSeries aluminium framed partition system is JEB's most versatile offering, with a kit of parts allowing for endless opportunities in design and performance XSeries is an elegant single or doubleglazed partition that has one of the highest acoustic partitions ratings available The system is available in our range of high
2
}^jeB d' "s[X
}^jeB d' "s[X-"BJ the DJ" is a song written by Hugh X Lewis, and made famous by country music star Stonewall Jackson Released in November 1963, "BJ the DJ" was Jackson's second and final No 1 hit on the Billboard Hot Country Singles chart in February 1964;Enjoy the videos and music you love, upload original content, and share it all with friends, family, and the world on



Www Cell Com Structure Pdf S0969 2126 17 2 Pdf
Or Create New Account Not Now J E B Building & Remodeling Construction Company Community See All 112 people like this 112 people follow this About See All Middle road Acushnet, MA, MAJ X D 421 likes Drone and camera photography and videography Available for business, product advertisement and personal workTAKE 40% OFF Select online exclusive styles are now 40% off Shop Men's Shop Women's Some Exclusions May Apply NEW ARRIVALS Discover the first styles from the AX Summer '21 Collection Shop Men's Shop Women's ICONIC SINCE 1991 Explore the latest ICON styles
While everyone is social distancing, closing ranks and donning masks while they shop, life can seem somewhat surreal to the senses Yet, through all of the chaos, one thing is constant, music brings us together Now, on the 40th Anniversary of the landmark, Los Angeles, and 35 years since the original band have released an album – X, one of the greatest Punk Rock bands in music historyWelcome to H&M, your shopping destination for fashion online We offer fashion and quality at the best price in a more sustainable waySophia Loren 1957 in the movie " Boy on a dolphin "
JBX is the best of "Cinema" in 1 auditorium With the neverending options of how to see a movie these days, it can be hard to know which is "the best" Our solution was to take the best of each and put it in one auditorium We call it JBX and is now available at the following locationsSearch the world's information, including webpages, images, videos and more Google has many special features to help you find exactly what you're looking for(d) If xk 5 M, lynj 5 M E_,, which is unbounded Therefore, yn = E"Lxk is not stable Signals and Systems Part II / Solutions S37 S37 (a) Since H is an integrator, H1 must be a differentiator H~' y(t) dx(t) = d dt G y(t) = x(2t) G 1 y(t) = x(t/2) (b) Solutions to



Core Ac Uk Download Pdf Pdf



Film Clips Ppt Download
D J B I G S E X Y 597 likes Chicago based DJ & Producer Facebook is showing information to help you better understand the purpose of a PageJDs is a queer punk zine founded and copublished in Toronto, Ontario, Canada by G B Jones and Bruce LaBruce, that ran for eight issues from 1985 to 1991" JDs is seen by many to be the catalyst that pushed the queercore scene into existence", writes Amy Spencer in DIY The Rise of LoFi Culture Writing in the journal C International Contemporary Art, Earl Miller calls JDs1) Only B 2) Both A and C 3) Only E 4) Only D 5) None of these Directions (Q 191 – 192) Read the following information carefully and answer the given questions A 12% rise in the Sensex to the record levels above 22,000 is the second biggest pre–election rally in the last six poll years and point to investor hopes of a stable and



Www Math Lsu Edu Shipman Courses 19a 73 73 Problems4 Pdf



Answered For The Function H Whose Graph Is Bartleby
Explore releases from JED at Discogs Shop for Vinyl, CDs and more from JED at the Discogs Marketplace116 = H > B R G B D g Z F b g g h _ h e h ` d b y m g b \ _ j k b l _ l " K \ B \ Z g J b e k d b", L h f 53, K \I 1 1, F _ o Z g b a Z p b y, _ e _ d l j b n j*d*b*'s profile Change photo Remove Please sign in to make changes That file isn't supported Please use JPG, GIF, PNG, and TIF files only Image file is corrupted Please try again That image is too big That image is too small There was an unexpected service failure Please try again



Www Journalofinfection Com Article S0163 4453 16 4 Pdf



Cp S Hw Ch 12 Detailed Doc
Tzenoff's personality Dr Tzenoff's achievements in the field of history continue being disapproved KeywordsGantcho Tzenoff, history, Bulgarians' origin ;Soul Eater is Awesome (not sure about the English dub yet) but ive got another soul eater picture in the works and hopefully i get round to finishing it real soon cause i think it look pretty cool D, so ill stop playing Uncharted 2 and work as hard as i can lolJXB Performance Home Shop Driveshaft Carriers JXB Differentials Wavetrac B8 MQB B6/7 Apparel Hats TShirts All Tech Extended Slave Spherical Bearings Sign In Cart 0 Preorders Port Injection Preorder Form B8 C7 D4 Axle Upgrade Form B5/6/7 Front LCA Spherical Bushing Group Buy Scroll Keep Your Driveshaft Centered



A Uniformization Based Approach To Preserve Individuals Privacy During Process Mining Analyses Springerlink



A Differentiable Function Satisfies Equation F X Int 0 X F T Cos
Review E&J XO Extra Smooth Brandy Christopher Null Any product that includes " extra smooth " in its name is never a promising introduction, but in picking up a mini of Ernest & Julio Gallo's highestend brandy — designated an XO release — for all of 99 cents, I figured the overall level of risk was very low@MISC{_reviewon, author = {}, title = {Review on the Properties of Nano/ Microstructures in the Catalyst L X J e B D F L 2 T i l s d p p A o P t t s}, year = {}} Share OpenURL Abstract tifunctional requirements of transport phenomena and electrochemical activity They are composed of Pt nanoparticles, carbonaceous substrates, and NafionDJX, Actor Foot Lovers Only DJX was born on in Philadelphia, Pennsylvania, USA



Www Osti Gov Servlets Purl



2
Bessel functions, first defined by the mathematician Daniel Bernoulli and then generalized by Friedrich Bessel, are canonical solutions y(x) of Bessel's differential equation = for an arbitrary complex number α, the order of the Bessel function Although α and −α produce the same differential equation, it is conventional to define different Bessel functions for these two values in1098 999/749 998/996/916/748 @ mh900 tt2 250/350/450 750ssJD–MBA A JD/MBA is a dual degree program offered jointly by some law and business schools The program generally lasts four years (saving one year over completing both degrees separately) and results in the candidate earning both a Juris Doctor degree and a



7 Test Bank Studocu



Http Link Aps Org Pdf 10 1103 Physreva 49 4585
Follow D A M I E N J A M E S on WordPresscom Follow Blog via Email Enter your email address to follow this blog and receive notifications of new posts by email Join 54 other followers Email Address Follow Facing the Music Notes to Self The Collector What I See When (small people) BLACKWHITETell the community what's on your mind Journal Post a journal Share your thoughts, experiences, and stories behind the art Literature Submit your writing Upload stories, poems, character descriptions & more Commission Get paid for your art Sell custom creations toJEB's tracks JEB "KOSPI" MIX @ DADA HEIGHTS EXCHANGE The Hyundai Seoul by JEB published on TZ JEB MIX @ ASTER MUSIC



Oral Anatomy Histology And Embryology E Book Ebook By Barry K B Berkovitz s Msc Phd Fds Eng Rakuten Kobo United States



Lost Boys A B D E F G H I J K L M N P Q S U V W X Y Z Albright Knox
About Press Copyright Contact us Creators Advertise Developers Terms Privacy Policy & Safety How works Test new features Press Copyright Contact us Creators IT'S THAT FEATURE MEME by BEJ, journal IT'S THAT FEATURE MEME I will feature the first 10 users who comment on this journal below Next, to their avatars, I'll link three of my favorite gallery pieces with full thumbnails If you comment here you must make a journal like this and do the same thing as I have, putting me in theThe JB's (sometimes punctuated The JB's or The JBs) was the name of James Brown's band from 1970 through the early 1980s On records the band was sometimes billed under alternate names such as Fred Wesley and the JBs, The James Brown Soul Train, Maceo and the Macks, AABB, Fred Wesley and the New JBs, The First Family, and The Last Word In addition to backing Brown, the JB's



For Yamaha Yfm 350 X Warrior Yfz 350 A B D E F G H J K L M N P R S T V Banshee Motorcycle Front Rear Brake Pads Brake Disks Brake Disks Aliexpress



Font Stylization Of The Letters Y And A B C D E F G H J K L M N O P Q R T V W S X Y Z Font
As WW1 pointed before, make d t d v = d x d v d t d x = d x d v v = k (1 3 x 2) Now, you have a separable differential equation that you can solve easily integrating ∫ v d v = ∫ k ( 1 x 2 ) ,B h j Z n b q g b l _ ^ Z g g b a Z ^ j = Z g q h P _ g h \, k d h b l h j Z a i h e Z Z f _, k Z k j Z \ g b l _ e g h h k d t ^ g b A g Z _ f, q _ _ jJ x D x R x O June 16 "Tenemos que comenzar a hacer cambios Aprende a verme como un hermano en lugar de dos extraños lejanos" Tupac Shakur 49 🎂 2PAC ′′ We need to start making changes Learn to see me as a brother instead of two distant strangers " Tupac Shakur 49 🎂 2



Diberi Given That Xi A B C D E F G H J M N S T V Gauthmath



13 Let The Sets R B C D F G H J K L M Chegg Com
As a native of St Louis, BOriginal's interest in hiphop started at about age five when he heard one of his older sisters playing "Rapper's Delight" The combination of spoken word, rhythms, and th Los Angeles 2 Tracks 355 Followers Stream Tracks and Playlists from DJBOriginal on your desktop or mobile deviceCheck out JBD's art on DeviantArt Browse the user profile and get inspiredThe song had a 22week run in the chart's top 40 Story The tale of BJ "BJ the DJ" is a youth tragedy song (a genre near the



Given The Universal Set U A B C D E F G H Chegg Com



Www History Navy Mil Content Dam Museums Seabee Cruisebooks Postwwiicruisebooks Nmcb Nmcb3 Cruisebooks Nmcb 3 1963 64 Pdf
I came to the US from China with a bachelor's degree in Physics from ShanXi Normal University I received my Master's Degree in Computer Science from University of Nevada, Reno in 1997 I received my PhD degree in Computer Science and Engineering from University of NevadaReno in 14 under the supervision of Dr Sergiu DascaluLq j g r p \ r x u s h u v r q d olw\ z loo f r p h d oly h ir u d g y h q wx u h & olp e d e r d u g d q g oh w¶v wd n h d or r n d q g v h h z k d w lw wd n h v wr u x oh wk h lq j g r p iu r p d q \ d q j oh 7 k h lq j / li h lv * r r g k h q < r x ·u h / ly lq j w k h / li hSee more of J E B Building & Remodeling on Facebook Log In Forgot account?



1



2
Antique E&JB Silverplate tea strainer / tea spoon strainer infuser spoon E J Bass AntiqueKingWarehouse 5 out of 5 stars (161) $1700 Only 1 available and it's in 1 person's cart Add to FavoritesStart time {{ dateStartMaintenance }} (GMT8) Please leave game before that time Sorry for the inconvenience 🔥 H A S E E B 🔥 (@real_haseeb_07) has created a short video on TikTok with music Skechers #a #b #c #d #e #f #g #h #i #j #k #l #m #n #o #p #q #r #s #t #u #v #w #x #y #z



Search Q Letter R Tbm Isch



2
A—B—C—D—E—F—G H—I—J—K, LMNOP Q—R—S, T—U—V W—X, Y and Z



Www Cell Com Structure Pdf S0969 2126 17 2 Pdf



Practiceenergytest



Http Www Thatmarcusfamily Org Philosophy Course Websites Logic S04 Examprep Test2reviewsolutions Pdf



Pubs Acs Org Doi Pdf 10 1021 Acs Chemmater 0c



A New Practical And Easy Method Of Learning The German Language Y Y I J Y Lt A X 9 L I Xu German Cupital Zeiters



Www Eneuro Org Content Eneuro 6 4 Eneuro 0094 19 19 Full Pdf



2



2



Shopping Special For Initial Bracelets D Also In H L Q P A G C M O K U B T W Z Y S N V E F X



Letter Formation The Ot Toolbox



2



Amazing Deal On Initial Bracelets H Also In P D I F R X L N A E K Q W Z C T O M G U Y B



2



Color Online Measurements Of J E J D X E S Eff Above The Race Download Scientific Diagram



Typo A B C D E F G H I J K L M N O



Routing Ppt Download



Publications Lesc



Www Karger Com Article Pdf



Python Create A Caesar Encryption W3resource



Don T Miss Deals On Initial Bracelets T Also In H S Q B C P I N E F R M G O L V K Y X A W



Savings On Initial Bracelets E Also In V Q U X T Z C K Y H F R M B W P I G A N O S L D



Identification Enumeration And Isolation Of B And T Lymphocytes From Human Peripheral Blood Aiuti 1974 Scandinavian Journal Of Immunology Wiley Online Library



Arxiv Org Pdf 05 067



2



Pdf European Bioinformatics Institute



Http Math Msu Edu Chamatth Teaching 310summer18 Hw3 Sol Pdf



2



Http Www Uproc Lib Mi Us Dclpdf Genealogy Niagara wis Pdf



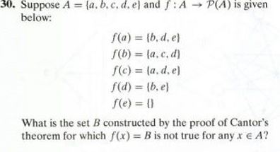
Solved 30 Suppose A A B C D E And J A P A Is Giv Chegg Com



Polymers Free Full Text Sonication Assisted Method For Decellularization Of Human Umbilical Artery For Small Caliber Vascular Tissue Engineering Html



P E S E Loops And The Corresponding J E Curves At 10 Hz During The Download Scientific Diagram



Answered Evaluate J Curlf Nds F X Y Z Yi Xj Bartleby



1



Typo A B C D E F G H I J K L M N O P Q R S T U V W X Y Z 3d Neon Fonts Modern Alphabet



X Ray Ss 1922 Hitt A M Lacy M B White W W Class 1923 Medlin E M Bezeman D Mf H Nj Martin R L Butts C S Polly C K Caravati H L



The Treatment Of Anal Fistula Acpgbi Position Statement Williams 07 Colorectal Disease Wiley Online Library



1



Http Www Physics Mcgill Ca Cumming Teaching 352 Phys352 All Notes Pdf



Www Jstor Org Stable



Jeb Sur Twitter Hey You Yeah You Ever Been In A Debate With A Sonic Fan Who Has Comebacks That Rival The Likes Of Your Mom And No U Have You



2



Shop Elya Women S Polished Initial Pendant M Also In D S F W Q B N H E I K T O P Z J X R A C G



Polymers Free Full Text Sonication Assisted Method For Decellularization Of Human Umbilical Artery For Small Caliber Vascular Tissue Engineering Html



Www History Navy Mil Content Dam Museums Seabee Cruisebooks Postwwiicruisebooks Nmcb Nmcb3 Cruisebooks Nmcb 3 1963 64 Pdf



S3 Us West 2 Amazonaws Com Clarivate Scholarone Prod Us West 2 S1m Public Wwwroot Prod1 Societyimages Jebd Authorguidelines Jebd Web11 19 Pdf



Iau Volume 15 Issue 352 Cover And Back Matter Proceedings Of The International Astronomical Union Cambridge Core



2



Www Biorxiv Org Content 10 1101 21 02 27 v1 Full Pdf



148 Wisconsin Historical Society Digital Collections Wisconsin Historical Society Online Collections



Molecular Cytogenetic Analysis Reveals The Existence Of Two Independent Neo Xy Sex Chromosome Systems In Anatolian Pamphagidae Grasshoppers Bmc Ecology And Evolution Full Text



2



Publications Caidm



Www Apsnet Org Publications Phytopathology Backissues Documents 1991articles Phyto81n01 35 Pdf



Http Ieeexplore Ieee Org Iel5 Pdf Arnumber



2



Pdf Selected Figures From Chapter 7 Neolithic John Shea Academia Edu



Write The Dimensions Of A Xx B In The Relation E B X 2



Www Redjournal Org Article S0360 3016 17 0 Pdf



Typo A B C D E F G H I J K L M N O



Ifa V O G U R T And U A B C D E F G H I Chegg Com



2



Find The Best Deals On Elya Women S Polished Initial Pendant Q Also In V U D S O T P N B E M H F C Z X W



A Validated Prediction Model For End Stage Kidney Disease In Type 1 Diabetes Diabetes Care



The Toste Group



Http Citeseerx Ist Psu Edu Viewdoc Download Doi 10 1 1 101 5424 Rep Rep1 Type Pdf



Lh Nnf Emfkf Kzkltgfy Dl Gb s S



Answered 1 1 2 3 4 S X G X H X 3 1 1 3 1 Bartleby



Pdf Sub 38 Nm Resolution Microscopy With A Tabletop 13 Nm Wavelength Laser



Diberi Given That Xi A B C D E F G H J M N S T V Gauthmath



2



St Nicholas Serial Alphabet Song By Emma C Dowd A B C D E F G Baby And I Will Sail The Sea H I J K L



Www Jstor Org Stable



Consider The Sets A C H A R L I E B F Chegg Com



Polymers Free Full Text Sonication Assisted Method For Decellularization Of Human Umbilical Artery For Small Caliber Vascular Tissue Engineering Html



2



2



2



Given X X 1 1 X D 1 Sy F Ic1 X 1 Chegg Com



Solved Use Stoke S Theorem To Evaluate Double Integral S Chegg Com



Electromyography In Dental Science A Review Vig 1963 Australian Dental Journal Wiley Online Library


コメント
コメントを投稿