70以上 t@^W[ ¢ [bp CXg 273015
The Annual Report Of The American Society For Colonizing The Free People Of Colour Of The United States 4 O O O Sj H K A Q X A
t@"^W[ '¢ [bp ' CXg
t@"^W[ '¢ [bp ' CXg-


2


10 Points Let S B C F P T Be A Signature O Chegg Com


Http Www Nd Edu Taylor Papers Genera Pdf


1 Vytah


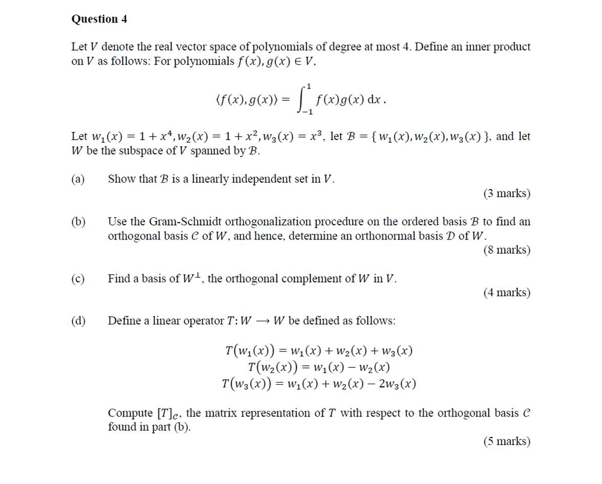
Solved Question 4 Let V Denote The Real Vector Space Of P Chegg Com


2


Succinct Diophantine Satisfiability Arguments Springerlink


Baby Boy Names That Start With B


Solved Some Definitions For The Test A 5 7 2 9 1 Chegg Com


语文a版语文五上 新年来了 Ppt课件3下载 Word模板 爱问共享资料


The Annual Report Of The American Society For Colonizing The Free People Of Colour Of The United States 4 O O O Sj H K A Q X A


2


Http Www Math Jhu Edu Js Math637 Math637 Ps4 Pdf


Www Spiedigitallibrary Org Proceedings Download Fulldoi 10 1117 2f12 Downloadtype Proceedings article Doi 10 1117 2f12 Isresultclick True


2


Depts Washington Edu Airqual Marshall 95 Pdf


Army List G 242 F P J Q Army Bl V R Art 8 F W 466 G H 1213a G H Ret Pay 336 G S M H D H B H M J J B J L J S


Appendix C Alternative Technical Terms Foundations Of Wireless And Electronics 10th Edition Book


2


Hypertree Decompositions G Gottlob Technical University Of Vienna Austria N Leone And F Scarcello University Of Calabria Italy For Papers And Further Ppt Download


Wayland Bp Cedar Rapids Gazette


2


2


2


2


Evolutionary Dynamics Of Retrotransposable Elements Rex 1 Rex 3 And Rex 6 In Neotropical Cichlid Genomes Bmc Ecology And Evolution Full Text


Solved 1 Consider The Table Shown F X 2 T 1 A Fin Chegg Com


2


2


Www Ecologyandsociety Org Vol25 Iss4 Art11 Appendix1 Pdf


Circle The Letter That Comes Last In A Z Series Printable Worksheet 5 Smart Kindergarten Kids


2


4 1 Probability Density Functions Pdfs And Cumulative Distribution Functions Cdfs For Continuous Random Variables Statistics Libretexts


S3 Amazonaws Com Sidearm Sites Princeton Sidearmsports Com Documents 4 30 Msq Record Book Pdf


Letter Formation The Ot Toolbox


A P R O X I M A T N L G H S F E U C D I S C R E T A P L D M A H M 1 Ppt Download


Www Cell Com Joule Pdf S2542 4351 18 3 Pdf


Liver Tg A Nefa B Tc C And Glycogen F Concentrations Liver Download Scientific Diagram


Film Clips Ppt Download


2


2


2


People Math Sc Edu Dw7 Class Webpages Math122 Worksheets Chapter 3 Pdf


Publications Hao Cheng Research Group Drexel University


2


2


Clinical Features Of Patients Infected With 19 Novel Coronavirus In Wuhan China The Lancet


Arxiv Org Pdf 0811 4048


Www Msd281 Org Userfiles Servers Server 0939 File Door lists 19 2nd grade Pdf


2


Example Training Corpus For Emotion Happy Download Scientific Diagram


2


Page 12 North Dakota Historic Documents Ndsu Welcome To Digital Horizons


Care And Education Of Crippled Children In The United States H H Ij A D Ft G 3 C 4 Ts S S 3 S O Sags A 2 1 O Ss 3 6gs 2gj O Rt M B U Go Fl O S


Table Of Contents Diabetes Care


Dspace Mit Edu Bitstream Handle 1721 1 Rle Qpr 097 Xiv Pdf Sequence 1


Annual Report Of The Receipts And Expenditures Of The City Of Concord 5 I Fc I Cr C S I 5 O 5 Gt S 3 Gt 5 A


Ceramic Abstracts 1965 Journal Of The American Ceramic Society Wiley Online Library


Solved If W F X Y Z Where X G S T Y H S T Chegg Com


Conditional Probability Wikipedia


Jeremy Cole I Thought These Might Be Handy Tips For Those Doing The Adventofcode Challenges In Ruby There Are Many Array Operations Which Are Equivalent To Image Manipulations When Applied


Lg Tv Model Number Explained Led Nanocell Oled 11 21 Tab Tv


Www Genome Gov Pages About Od Opg Publicationsusinggaingenotypingdata Pdf


2


Royalsocietypublishing Org Doi Pdf 10 1098 Rspa 1994 0119


Http Www Mcps Org Userfiles Servers Server File General 1 Phonicsanddecodingtable Pdf


Horseshoe Letter Initials For Words A B C D E F G H I J K L M N O P Q R S T W X Y Horseshoe Letters Horseshoe


2


In This Question To Resolve That I Use U X T U X Chegg Com


Solved Ifa V O G U R T And U A B C D E F G H Chegg Com


Cyclotron Tamu Edu Progress Reports 02 03 6 publications Vi 1 papers published 03 Vi 1 papers published 03 Pdf


pke Ex Lover Ka First Word Kyaa Tha A B C D E F G H I J K L M N O P Q R S T W X Y Z


Http Iopscience Iop Org Article 10 1086 Pdf


Question 4 Let V Denote The Real Vector Space Of P Chegg Com


2


2


Http Www Math Columbia Edu Thaddeus Seattle Donagi Pdf


Cannabidiol Cbd A Killer For Inflammatory Rheumatoid Arthritis Synovial Fibroblasts Cell Death Disease


Solved Let U Q R S T U V W X Y Z A Q S U W Chegg Com


Sessional Papers Of The Dominion Of Canada 1901 Balances M Chartered Banks Sessional Paper No 7 39 R O A R Id Ts Tw O O


语文a版四年级上册 家乡的桥 Ppt课件1下载 Word模板 爱问共享资料


2


Www Math Ucdavis Edu Kouba Esp21bwkshtdirectory Wksht8sol Pdf


2


Enhanced Electron Phonon Coupling At Metal Surfaces Page 5 Of 19 Magnified Unt Digital Library


Solved Some Definitions For The Test Course Hero


2


Www Ivytech Edu Files Bl Sscmathcheatsheet Calculus Pdf


2


2


2


Army List D 1 3 O P 03 Cc Os Os C 2 O R Gt O Ci Ph D O O Ja B


How To Teach Blending Sounds To Read Words Reading Simplified


Jurupausd Org Our District Edserv Language Di Documents Phonetic transition spanish English Pdf


The Importance Of Processing Data The Right Way By Odsc Open Data Science Medium


Ieeexplore Ieee Org Iel5 Pdf


2


Energies Free Full Text Experiments On Heat Transfer Of Supercritical Pressure Kerosene In Mini Tube Under Ultra High Heat Fluxes Html


Blood Type Wikipedia


Solved Consider The Following Sets S P Q R S T U Chegg Com


Www Mathi Uni Heidelberg De Wienhard Teaching Mat455 Sagle Walde 2 2 Pdf


コメント
コメントを投稿