[最も人気のある!] WW 5 29b 393121
Lnr Series Datasheet By Nichicon Digi Key Electronics
WW 5" 29b
WW 5" 29b-


33 Tyrel Jones B Feature In Car Camera Lebanon Midway Speedway 05 29 Midwest Sheet Metal Show Me Dirt


33 Tyrel Jones B Feature In Car Camera Lebanon Midway Speedway 05 29 Midwest Sheet Metal Show Me Dirt


Beloit Tomorrow Will Honor Heroic Dead Of Three Wars Newspaper Article Clipping Wisconsin Historical Society


Amazon Com Fire Fear And Guts The B 29 And Her Gallant Crewmen Clanton Raymond W Books


Amazon Com Legion Hell Over Korea Kit For B 29 Superfortress Base Board Game Everything Else


Ch 29 Pr 5 6 10 13 22 23 25 26 27 33 41 68 69


Gray And Sons Jewelers February 21


Metabolites Free Full Text Soluble Sugar And Lipid Readjustments In The Yarrowia Lipolytica Yeast At Various Temperatures And Ph Html


A Novel Coordination Complex Of Platinum Pt Induces Cell Death In Colorectal Cancer By Altering Redox Balance And Modulating Mapk Pathway Bmc Cancer Full Text


Hundreds Chart 100 Chart Math Charts Hundreds Chart Math


Solved 14 Question Details Consider The Following 1 Chegg Com


One West End Lincoln Square New York Condominium For Satis With 4 Bedrooms 5 Full Bathrooms And 1 Partial Bathrooms Christie S International Real Estate


Clipping From The Progress Newspapers Com


Solved 5 29 Link Oa Rotates With A Clockwise Angular Velo Chegg Com


Non Restricted Rifle Mosin Nagant Model 11 7 62 Mag Fed 5 Shot Bolt Action W l Length 29 B


Tem Images Of Polymer Nano Objects Prepared By Photo Pisa Of Tba And Download Scientific Diagram


Aircraft Illustration


Asteroid Impact Not Volcanism Caused The End Cretaceous Dinosaur Extinction Pnas


Lnr Series Datasheet By Nichicon Digi Key Electronics


Photo Oct 15 5 29 37 Pm Alabama Center For Architecture


Lena Carroll Weeks Obit 5 29 1967 Greenville News Pg 8 2 Of 2 Newspapers Com


Solved 2 Points 2 10 Let U 5 V 29 And W 35 13 Chegg Com


The Mid Atlantic Air Museum Ww Ii Weekend Poster


Collections Of The Worcester Society Of Antiquity 2i 29 36 Court House 30 44 5t 6o 67 Inscription 52 Deaths Of Aged People Shrews Crafts Eliot Winship By Georgia Bury


29 Si Mas Nmr Spectra Of A Mof 5 B Mof 5 Mag H 1 W C Download Scientific Diagram


Set 29b 5 Roller Rods W Our 8 Piece Roller Tip Set Buy Paintless Dent Repair Tools At Elimadent


Solved What Is The Moment Kn M At Distance X 5 M If F 2 Chegg Com


Boutique Blush Skater Dress Dresses Mini Dress Fit Flare Dress


Event 29b Midway Junction 150 Buy In W Optional Add On Midway Junction Williston April 18 21 Allevents In


Ras A Ter Causes Problems Matthew Henson Community Development Corporation


Solved 516 Chapter 7 Differential Equations 73 Exercises Chegg Com


Tupolev Tu 4 Wikipedia


L A T Supremo W 29 10 10 B Cu Fe Mn Zn


Outdoor Brass Mini Keychain Pocket Folding Knife W 5 Replaceable Blades M 29b Ebay


29b Circus Clubhouse Pkg Ii Popular Rainbow Midwest


Rod Stewart Rod Stewart Passion B W Better Off Dead Amazon Com Music


Beverage Air Dd94hc 1 B 95 Draft Beer System W 5 Keg Capacity 2 Column Black 115v


Iconic Wwii B 29 Superfortress Fifi Coming To Delaware County Regional Airport Munciecalendar Com


Zauhbbqy2oomhm


A Polymerization Kinetics For Photo Pisa Of Tba Using Pdaam 29 Ddmat Download Scientific Diagram


The Hustle Unlimited B W When You Were Mine Lambchop Merch Vinyl Shop Merge Records Store


Solved Find Constant Vectors A And B Such That The Soluti Chegg Com


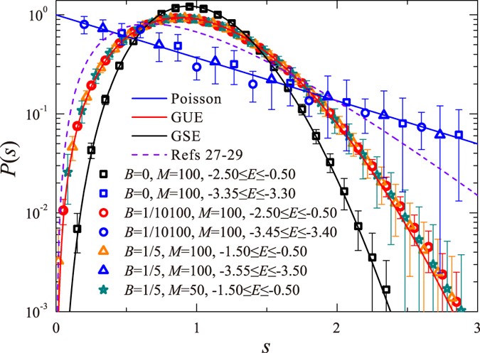
Absence Of Localization In Disordered Two Dimensional Electron Gas At Weak Magnetic Field And Strong Spin Orbit Coupling Scientific Reports


B G B G Network Cable W 5 Pin Female Connector 10 Meters New Max Marine Electronics


Lg 29um69g B Save On Lg Monitors W Our Labor Day Deals Lg Usa


An 2810 A B Drawing Datasheet By Bud Industries Digi Key Electronics


Ww 2 B 29 Korean War f Jet Pilotstype B 5 Mae West Life Preserver


Metabolites Free Full Text Soluble Sugar And Lipid Readjustments In The Yarrowia Lipolytica Yeast At Various Temperatures And Ph Html


Ms 29b Screw Length 5 8 Military Fasteners


Endogenous Interferon B And Low Il 4r On Transitional B Cells Promotes Lupus Nephritis Acr Meeting Abstracts


Ww 2 B 29 Korean War f Jet Pilotstype B 5 Mae West Life Preserver Nice


Enola Gay B 29 Bomber High Resolution Stock Photography And Images Alamy


Styx Styx Fooling Yourself The Angry Young Man 5 29 Full Length Stereo Version B W Fooling Yourself The Angry Young Man 3 35 Edited Stereo Version Amazon Com Music


Laponite Xlg With Corn Po4 Ph B Agrana


159 West 53rd Street Unit 29b Manhattan Ny Compass


Solved Solve The Problem 12 7 1 8 21 Let A 87 4 And B 2 Chegg Com


Sialic Acid Engineered Mesoporous Polydopamine Dual Loaded With Ferritin Gene And Spio For Achieving Endogenous And Exogenous Synergistic T2 Weighted Magnetic Resonance Imaging Of Hcc Journal Of Nanobiotechnology Full Text


Usaf 9th Bombardment Group Ww Ii History B 29 Superfortress Unit Bombers Ebay


Ee Sb5 B Datasheet By Omron Electronics Inc Emc Div Digi Key Electronics


Image 17 Of Alan Lomax Collection Manuscripts Performance Style Cantometrics Teaching Training Tapes Consensus Consensus Tape Corrections Library Of Congress


Anti Inflammatory And Anti Apoptosis Activity Of Taraxasterol In Ulcerative Colitis In Vitro And In Vivo


Savage Arms Corp Savage Model 29b 22 Cal W 4x Scope For Sale At Gunauction Com 597


Ww2 Usaaf Navy Aircraft Norden B2a Bomb Release Control Box B 17 B 29 B 25 Axis Militaria


The Regulatory Interaction Of Evi1 With The Tcl1a Oncogene Impacts Cell Survival And Clinical Outcome In Cll Leukemia


B 29 Superfortress Decal Set 5 Decal Hobbysearch Military Model Store


Solved A X Y Z B W 5 What Is The Number Of Dark Chegg Com


Solved For The Cantilever Beam And Loading Shown Determi Chegg Com


Boeing B 29 Superfortress Basic New Ware Nwam0287


Fac3112 Embraer A 29b Super Tucano Colombia Air Force Esteban Cristancho Jetphotos


Whatsapp Riddles 26 L Of The A 7 D Of The W Bhavinionline Com


Answered Exponents Simplify Each Expression And Bartleby


Non Restricted Rifle Mosin Nagant Model 11 7 62 Mag Fed 5 Shot Bolt Action W l Length 29 B


K2 Womens Prime Pad Set W Guards Black Blue Knee A 45 49cm B 39 42cm Elbow A 30 33cm B 29 32cm Wrist A 24 26cm B 21 23cm Xl Protective Gear Wrist Guards


Solved Vo 10 29 65 26 1057 B S 5 Orange Jo 3 In William Z Chegg Com


Forever 21 Black 5 Pocket Jeans W Small Roses Clothes Design Pocket Jeans Womens Jeans Skinny


Comparison Of The Catalytic Activities Of 5 Mer Synthetic Peptides Derived From Box A Region Of Tob Btg Family Proteins Against The Amyloid Beta Fragment Peptides


Solar Panel Yl240p 29b 240wp Poly Secondsol


Bombing Of Hiroshima And Nagasaki Causes Impact Lives Lost History


Ordnance Boeing B 29 Superfortress Game Changer Warfare History Network


Warm Water Paths In The Equatorial Atlantic As Diagnosed With A General Circulation Model In Journal Of Physical Oceanography Volume 29 Issue 11 1999


Boeing B 29 Variants Kb 29 Wb 29 B 50 B 54 History Photographs Specifications


Australians Offer To Travel With People In Religious Attire By Tweeting Illridewithyou


Contour Lines Developed For W 29 Marsh From A All Bathymetric Data Download Scientific Diagram


B 29 Superfortress Decal Set 5 Decal Hi Res Image List


コメント
コメントを投稿